 |
Improved full reports for Princess cut.
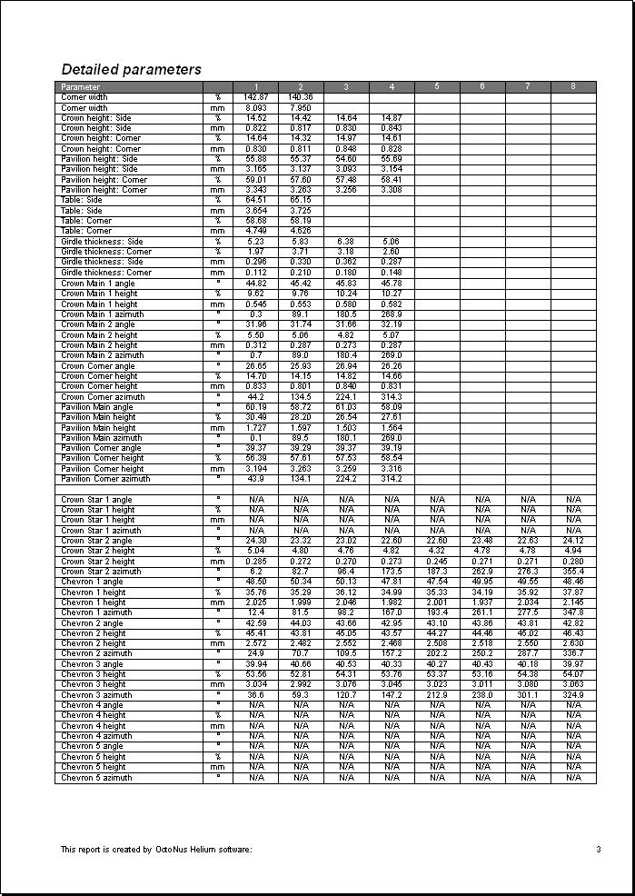
The new parameters are available:
- Corner width - distance in mm from corner to opposite corner of cut.
- Crown height (Side or Corner) - height of crown in % or mm measured in the places of min and max diameters accordingly (and perpendicular to min and max diameters). These places are illustrated on the Girdle Thickness Plot.
- Pavilion height (Side or Corner) - the same parameters for pavilion.
- Table (Side or Corner) - distance in mm or % measured in the min diameter and max diameter and perpendicular to them.
- Girdle Thickness (Side or Corner) - thickness of girdle in mm in places of min and max diameters.
- Crown Main angle or height 1, 2, …- angle in degrees or height in mm, % of facets which are placed above long part of girdle (Side) where measured min diameter.
- Crown Corner angle or height - angle in degrees or height in mm, % of facets which are places in the corners of cut.
- Pavilion Main angle or height - angle in degrees or height in mm, % of facets which are placed below long part of girdle (Side) where measured min diameter.
- Pavilion Corner angle or height - angle in degrees or height in mm, % of facets which are places in the corners of cut.
- Crown star 1, 2, … angle or height - angle in degrees or height in mm, % of star facets analogical to RBC.
- Chevron 1, 2, … angle or height - angle in degrees or height in mm, % of pavilion facets which are places between Pavilion Main facet and Pavilion Corner facet.
Other parameters and schemes of plots are analogical to RBC full report.
The example of the Full report for New Princess cut is illustrated below
(7 pages):
Please note, that parameters "Crown height: Side", "Crown height: Corner", "Pavilion height: Side", "Pavilion height: Corner" are not the same as "Crown Main 1-2 height",
"Crown Corner height", "Pavilion Main height", "Pavilion Corner height", "Crown Star 1-2 height", "Chevron 1-5 height".
The values shown on pictures in the Facets' heights section are the values of "Crown Main 1-2 height", "Crown Corner height", "Pavilion Main height", "Pavilion Corner height", "Crown Star 1-2 height", "Chevron 1-5 height" parameters.
They are calculated as heights of each separate facet. We take the facet, look for the highest and lowest vertices of the facet and calculate the facet height as a difference in heights of the vertices. These values (and also slope and azimuth angles) appear both in tables and on pictures.
The Crown, Pavilion (and Girdle) heights along side and corner are calculated as was indicated in your requirements. The Girdle thickness plot shows girdle azimuths where these heights were calculated.
We use the direction (azimuth) on the minimum diameter and perpendicular to it for calculating "Side" parameters. In this example the program used directions along 0, 90, 180, 270 degrees for calculating Girdle, Crown and Pavilion Side heights.
We use the direction (azimuth) on the maximum diameter and symmetrical to it for calculating "Corner" parameters. In this example the program used directions along 45, 135, 225, 315 degrees for calculating Girdle, Crown and Pavilion Corner heights.
Such heights along some direction are based on girdle thickness in that direction. At first the program determines the girdle thickness, the highest and lowest points on girdle in the given direction. Then it uses the highest and lowest points of the whole stone to determine the Crown and Pavilion heights. As a result, if we add Crown, Girdle and Pavilion heights measured in the same direction we should get the total height of the stone.
This approach is illustrated in the section describing measurement of girdle thickness for Brilliant.
Reports
history
Helium news
|
 |